Easy job thanks to long fibres

EMS-GRIVORY’s long fibre reinforced polyamides make combinations of properties possible which are unachievable with conventional compounds. Maximum mechanical properties with minimum weight: protective and functional clothing for sport and leisure are precisely where the potential of long-fibre technology is fully tapped.

Easy job thanks to long fibres

EMS-GRIVORY’s long fibre reinforced polyamides make combinations of properties possible which are unachievable with conventional compounds. Maximum mechanical properties with minimum weight: protective and functional clothing for sport and leisure are precisely where the potential of long-fibre technology is fully tapped.

23.10.2013 

Requirements on protective and functional clothing for sport and leisure are constantly growing. They need to give ever better protection to sportspeople while also being increasingly lightweight so that athletes need not drag around a single superfluous extra gram of weight and can thus achieve ever better performances. These are contradictory requirements, but EMS-GRIVORY’s long fibre-reinforced polyamides now make protective and functional items possible which easily achieve this balancing act between maximum protection and minimum weight.

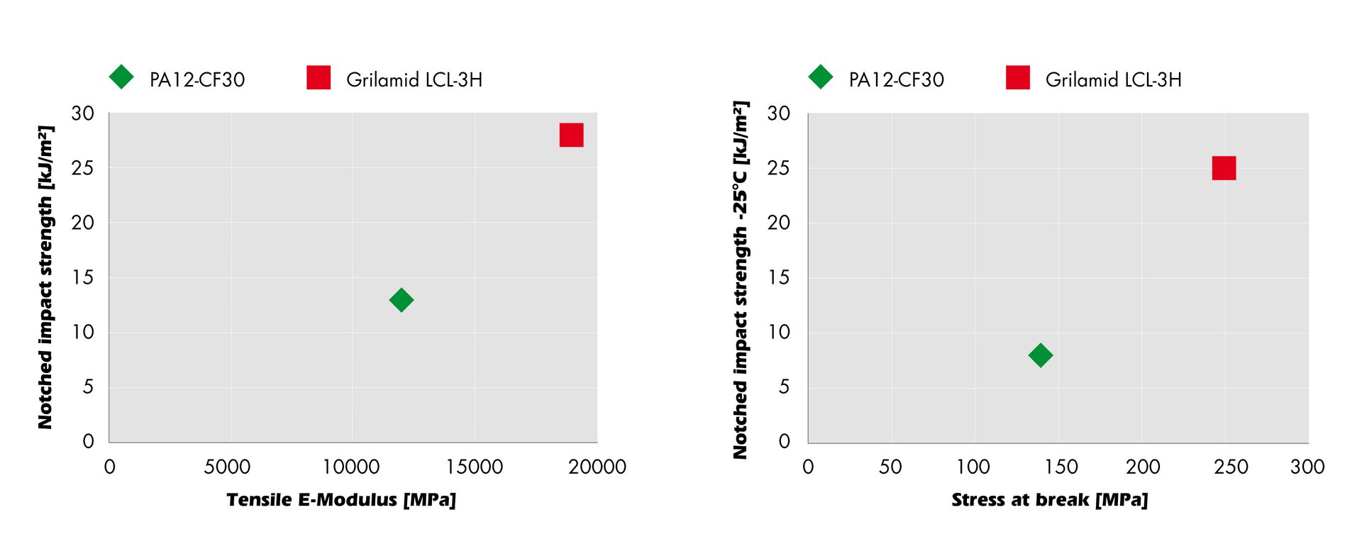
Massive increase in mechanical properties

The first example is the Spectre touring ski boot made by the Italian company La Sportiva. Thanks to its the high-quality materials and ingenious design, the ski boot weighs only 1395 grams, which makes it the lightest 4-buckle ski boot ever. The cru-cial elements are the EMS-GRIVORY products used in the boot’s heel shell, where a long carbon fibre-reinforced PA12 and a particularly tough Grilamid PA12 ensure a very high level of stiffness and extremely high notch impact strength. As a result of its long-fibre reinforcement, the notch impact toughness is more than twice as high, tensile E-modulus is 60% higher and strength 70% higher than for short fibre-reinforced PA12 grades. Consequently, the ski boot is very stiff and is at the same time protected against impacts. The materials can be welded together without problem using 2-component injection moulding methods.

Lighter and more economical

Alpinestars' Bionic Neck Support demonstrates the advantages of EMS-GRIVORY’s long fibre-reinforced polyamides. The neck protection for off-road sports, which prevents overstretching of the neck vertebrae by supporting the helmet, is made of Grilamid LCL-3H, a long carbon fibre reinforced PA12. Despite its very low density of only 1.15 g/cm3, the material provides outstanding mechanical properties and excellent dynamic behaviour. Like all EMS-GRIVORY’s long fibre-reinforced polyamides, Grilamid LCL-3H shows no embrittlement at high deformation rates and has no problems withstanding hard impacts on the helmet. As a result of its reinforcement with long carbon fibres, the energy absorption of Grilamid LCL-3H is more than five times higher than that of standard compounds. The Bionic Neck Support, which received the ISPO Award 2013, is 38% lighter than its predecessor model, and its manufacture is even more economical thanks to the easy processability of the EMS-GRIVORY material in the injection-moulding process.

Long fibres for optimum protection

Alpinestars relies on Grilamid LCL-3H in its Fluid Tech Carbon Knee Brace. Thanks to its fibre skeleton, stresses are distributed over the largest possible volume, and stress peaks are avoided. As a result, the component, which consists of two half-shells, protects the kneecap even when falling on sharp stones. With its toothed linkage between the two half-shells, it also enables an anatomically correct rolling movement of the knee joint. The mechanical loads on this toothed linkage can be exceptionally high. Thanks to the high tensile E-modulus and extreme strength of Grilamid LCL-3H, the toothed linkage has no problems withstanding this stress. In addition, the knee protector weighs less than 590 grams, which is unique in the market for knee prostheses certified according to EN 1621-1.

Big selection – easy processing

EMS-GRIVORY has expanded the product range of long fibre-reinforced polyamides to five product families: Grivory HT, Grivory GV, Grilamid L, Grilamid TR and Grilon TS. These long fibre-reinforced polyamides show no embrittlement at low temperatures, which makes them very attractive, especially in the field of winter sports. They can be processed on normal commercially available injection-moulding machines and allow fine component structures that are not feasible when using thermoset carbon fibre fabrics. The PA12-based products are characterised by particularly low water absorption which also ensures that their property profile remains constant - a typical feature of PA12.

With EMS-GRIVORY’s long fibre-reinforced polyamides, it is now possible to manufacture protective and functional clothing for sport and leisure that is extremely lightweight while being very strong.